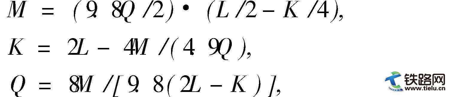
對鐵路集重貨物所進行的運輸。在平車上裝載集重貨物時,為防止損壞車輛,其重量或支重面長度受平車底架最大彎曲力矩的限制:對一定重量的集重貨物,其支重面長度有一定的要求,或對具有一定支重面長度的集重貨物,其重量有一定的限制。在貨物重量均衡分布給平車底架(貨物重心的垂直投影位于平車底板縱橫中心線的交叉點上)的條件下,集重貨物支重面長度和重量可按下式確定:
所以

式中:M——平車底架中央斷面的最大容許彎曲力矩(N·cm);
L——車輛兩轉向架中心銷間的距離(cm);
K——集重貨物支重面長度(cm);
Q——集重貨物重量(kg);
9.8——1kg換算為1N的系數。
如貨物重量不能均勻分布于平車底板上,或貨物支重面長度小于規定的負重面長度時,則貨物必須放置在兩根橫墊木上,兩橫墊木中心線間的距離不小于負重面長度的二分之一。當集重貨物支重面長度小于兩橫墊木之間的最小距離時,應在橫墊木上鋪墊縱墊木,在縱墊木上放置貨物,并按貨物重量取橫墊木間最小距離等于或大于平車底板負重面長度的二分之一。
免責聲明:本網站所刊載信息,不代表本站觀點。所轉載內容之原創性、真實性、完整性、及時性本站不作任何保證或承諾,請讀者僅作參考并自行核實。










































