7.7.1 設計原理
基礎的類型取決于支柱類型、荷載、土壤狀況和可利用的基礎設施安裝技術。由于支柱和基礎設計之間有密切關系,選擇支柱時必須考慮到基礎的狀況。
接觸網支柱的基礎可歸類于壓實基礎,其特點是通過單個基礎塊來支持支柱。其承受的荷載主要是力矩,還有水平荷載和垂直荷載。根據壓實基礎的類型,建筑結構的荷載通過基礎底層土壤壓力或側向土壤阻力傳遞給大地。
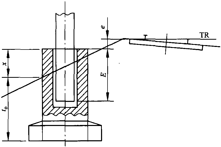
就基礎設計而言,正在采用的新方法的改變之處是不再進行工作荷載校核而是進行極限荷載和極限強度的校核。這種設計方法還構成了新歐洲土木工程標準的基礎!基礎的極限強度是一個判斷標準,超過該值時就意味著基礎將不再勝任工作或將損壞。那時由于沒有這類草擬標準可利用,所以仍沿用以工作荷載為依據的常規方法。設計的要求和原理與EN 50119標準有關。根據德國鐵路的實踐,圖7.26給出了有關架空接觸網基礎的各項標注。

圖7.26 接觸網支柱基礎的標注
e—軌面和基礎頂面之間的高度差; E—插入基礎的支柱插入深度; x—從基礎頂面到基礎與路堤土壤交接面中最低側的尺寸; t0—基礎的埋置深度
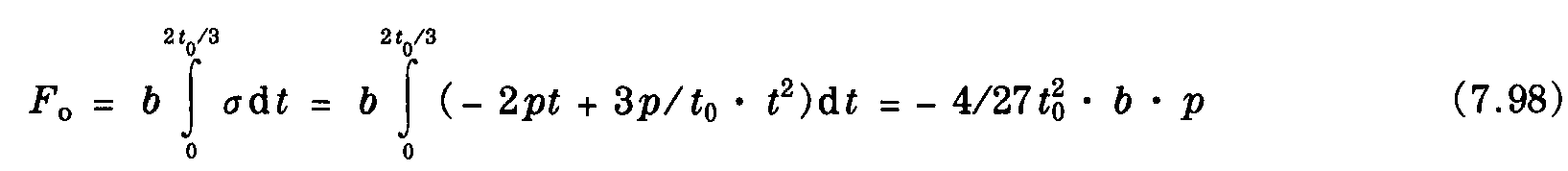
7.7.2 無階梯形整體基礎
混凝土整體基礎為棱柱體,通常為垂直面或者帶有一個或更多的臺階。采用這種類型的基礎,底座上的土壤壓力以及側向土壤的阻力會加大極限強度。僅在土壤保持原狀的地方,可以根據分層密實度和土壤的特性來考慮土壤的阻力。當棱柱體基礎的高度實質上大于其寬度時,荷載主要靠橫向強制力 (側面承載)來傳遞。作為第一步近似計算可以忽略基礎底層的作用。用上述方法,還可以對具有圓形橫截面的混凝土整體基礎進行校核。

圖7.27 無階梯形整體基礎的承載性能
按圖7.27所示,通過與荷載方向垂直的基礎面和土壤之間的壓力將外部荷載傳遞給底土。如果假定可允許的土壤壓力隨深度呈線性增加,則

而且支點在基礎深度的1/3的深度時,由深度引起的土壤壓力的拋物線可表示為

支點上下的總反作用力可由下式得到

和

兩個力Fo與Fu之間的距離由壓力so和su的中心求出,它們可由下式得到

和

則壓力中心的距離是

此外,假定水平荷載被與荷載方向平行的基礎面上的摩擦力抵消了,則
Qz(hz+2/3t0)=Fo·s=9/16×4/27pt03b=1/12pt03·b
由于Qz·hz=My,可得到

免責聲明:本網站所刊載信息,不代表本站觀點。所轉載內容之原創性、真實性、完整性、及時性本站不作任何保證或承諾,請讀者僅作參考并自行核實。










































